Hiểu rõ phương sai và độ lệch chuẩn là bước quan trọng để phân tích dữ liệu một cách chính xác, đặc biệt trong thống kê, nghiên cứu và mô hình hóa. Hai đại lượng này giúp đánh giá mức độ biến động và mức độ ổn định của thông tin, từ đó hỗ trợ đưa ra nhận định khách quan hơn. Trong phần dưới đây, chúng ta sẽ cùng khám phá khái niệm, cách tính và các ứng dụng thực tiễn của chúng.
1. Phương sai (Variance)
1.1. Phương sai là gì?
Phương sai (Variance) là một đại lượng thống kê dùng để đo mức độ phân tán của các giá trị trong một tập dữ liệu so với giá trị trung bình của chính tập dữ liệu đó.
Nói cách khác:
Phương sai cho biết các giá trị trong dữ liệu lệch khỏi trung bình nhiều hay ít.
- Phương sai lớn → dữ liệu phân tán rộng, biến động mạnh.
- Phương sai nhỏ → dữ liệu tập trung gần trung bình, ổn định hơn.
Phương sai thường được ký hiệu là σ² (đối với quần thể) hoặc s² (đối với mẫu).

Phương sai (variance) là gì?
1.2. Công thức tính toán phương sai
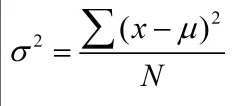
Phương sai được ký hiệu là σ² và được tính toán theo công thức sau:

Công thức tính toán phương sai của tổng thể
Phương sai của tổng thể được tính bằng công thức: σ2 = Σ (x – μ)2 / N được sử dụng để đo mức độ phân tán của toàn bộ dữ liệu trong tổng thể so với giá trị trung bình thật sự μ.
Trong đó:
- σ2: phương sai của tổng thể
- x: giá trị dữ liệu thứ i
- μ: giá trị trung bình của tổng thể
- N: Số lượng phần tử trong tổng thể
2. Độ lệch chuẩn là gì?
2.1. Định nghĩa
Độ lệch chuẩn là một đại lượng đo lường sự biến động của dữ liệu trong một tập hợp. Nó cho biết mức độ phân tán của dữ liệu so với giá trị trung bình, tương tự như phương sai.

Độ lệch chuẩn là gì?
Độ lệch chuẩn được tính bằng cách lấy căn bậc hai của phương sai. Điều này giúp chúng ta có thể đo lường sự biến động theo cùng đơn vị với dữ liệu ban đầu. Đơn vị của độ lệch chuẩn là đơn vị của dữ liệu.
2.2. Công thức tính toán độ lệch chuẩn
Để tính toán độ lệch chuẩn, chúng ta sử dụng công thức sau:
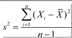
- Độ lệch chuẩn của tổng thể (Population Standard Deviation): σ = √σ²
- Độ lệch chuẩn mẫu (Sample Standard Deviation): s = √s²

Trong đó, s là độ lệch chuẩn và được tính bằng cách lấy căn bậc hai của phương sai. Công thức này cũng tương tự như công thức tính toán phương sai, chỉ khác là ta thay đổi từ tính bình phương sang lấy căn bậc hai.
2.3. Ý nghĩa của độ lệch chuẩn
Độ lệch chuẩn giữ vai trò quan trọng trong thống kê vì nó phản ánh mức độ dao động của dữ liệu quanh giá trị trung bình.
- Hiểu bản chất dữ liệu: Chỉ số này giúp người phân tích nhìn thấy dữ liệu trải rộng đến đâu, từ đó đánh giá mức ổn định hay bất ổn của các giá trị quan sát.
- So sánh các nhóm: Khi đặt hai tập dữ liệu cạnh nhau, độ lệch chuẩn là thước đo hiệu quả để xem nhóm nào biến động mạnh hơn hoặc ổn định hơn.
- Ứng dụng trong mô hình hóa: Nhiều mô hình thống kê và dự báo như hồi quy tuyến tính, ANOVA… đều sử dụng độ lệch chuẩn nhằm đánh giá độ chính xác, mức sai số và chất lượng của mô hình.
3. Sự khác biệt giữa phương sai và độ lệch chuẩn
Phương sai và độ lệch chuẩn là hai khái niệm liên quan đến sự biến thiên của dữ liệu. Tuy nhiên, chúng có những điểm khác biệt sau:
| Tiêu chí | Phương sai | Độ lệch chuẩn |
|---|---|---|
| Công thức | Bình phương độ lệch | Căn bậc hai phương sai |
| Đơn vị | Bình phương đơn vị gốc | Cùng đơn vị dữ liệu |
| Tính trực quan | Khó hiểu hơn | Dễ hiểu hơn |
| Ứng dụng | Tính toán trong mô hình | Báo cáo, diễn giải dữ liệu |

Kiến thức về phương sai và độ lệch chuẩn không chỉ hỗ trợ phân tích dữ liệu mà còn là nền tảng quan trọng để phát triển các đề tài nghiên cứu khoa học, giúp luận chứng rõ ràng và nâng cao độ tin cậy của kết quả.
4. Ứng dụng của phương sai và độ lệch chuẩn
Phương sai và độ lệch chuẩn không chỉ xuất hiện trong sách giáo khoa hay các bài kiểm tra thống kê. Trong thực tế, đây là hai chỉ số được sử dụng rộng rãi để hiểu dữ liệu, đánh giá rủi ro và đưa ra quyết định chính xác hơn. Dưới đây là những lĩnh vực mà hai đại lượng này thể hiện rõ sức mạnh của mình.
4.1. Ứng dụng trong thống kê
Trong thống kê cơ bản, phương sai và độ lệch chuẩn giống như “kính lúp” giúp người phân tích nhìn sâu hơn vào dữ liệu.
- Phân tích dữ liệu: Hai chỉ số này tiết lộ mức độ phân tán của dữ liệu, qua đó giúp xác định dữ liệu có ổn định hay biến động mạnh.
- So sánh giữa các nhóm: Khi đặt hai tập dữ liệu cạnh nhau, độ lệch chuẩn giúp nhanh chóng nhận ra nhóm nào biến động mạnh hơn.
- Kiểm định giả thuyết: Nhiều phép kiểm định yêu cầu đánh giá sự khác biệt giữa hai tập dữ liệu dựa trên phương sai, chẳng hạn như kiểm định F.
4.2. Ứng dụng trong mô hình toán – thống kê nâng cao
Ở cấp độ chuyên sâu hơn, phương sai và độ lệch chuẩn trở thành nền tảng xây dựng nhiều mô hình dự báo và phân tích.
- Hồi quy tuyến tính: Độ lệch chuẩn liên quan trực tiếp đến sai số của mô hình, giúp đánh giá mức độ phù hợp của đường hồi quy.
- Phân tích phương sai (ANOVA): Dựa trên sự khác biệt phương sai giữa các nhóm để xác định liệu yếu tố nào gây ảnh hưởng đáng kể đến kết quả.
4.3. Ứng dụng trong kinh tế – tài chính
Trong tài chính, những con số này đóng vai trò đặc biệt quan trọng vì liên quan trực tiếp đến rủi ro – yếu tố sống còn của mọi quyết định đầu tư.
- Đo lường rủi ro: Phương sai và độ lệch chuẩn phản ánh mức độ dao động của lợi nhuận, từ đó giúp nhà đầu tư biết danh mục nào ổn định hơn hoặc tiềm ẩn rủi ro cao hơn.
- Phân tích doanh số – lợi nhuận: Chúng hỗ trợ các doanh nghiệp theo dõi mức độ biến động theo thời gian, phục vụ dự báo và hoạch định kế hoạch kinh doanh.
4.4. Ứng dụng trong khoa học – kỹ thuật
Trong kỹ thuật, độ chính xác và sự ổn định luôn là ưu tiên hàng đầu và phương sai, độ lệch chuẩn giúp đo lường điều này.
- Kỹ thuật đo đạc: Khi đánh giá các thiết bị đo, độ lệch chuẩn cho biết thiết bị nào cho kết quả lặp lại ổn định hơn.
- Kiểm định chất lượng sản phẩm: Trong sản xuất bóng đèn, linh kiện hay máy móc, việc theo dõi độ lệch chuẩn giúp doanh nghiệp xác định mức độ đồng đều và chất lượng của sản phẩm trước khi đưa ra thị trường.
5. Liên hệ với đơn vị phân tích định lượng theo yêu cầu
Bạn đang gặp khó khăn trong việc phân tích dữ liệu SPSS của mình? Bạn đang tìm kiếm một đơn vị uy tín để hỗ trợ phân tích định lượng, đảm bảo kết quả nghiên cứu của bạn chính xác và đáng tin cậy?
Đừng chần chừ nữa, hãy liên hệ ngay với Luận Văn 1080. Với đội ngũ chuyên gia giàu kinh nghiệm và phần mềm phân tích hiện đại, chúng tôi cam kết mang đến cho bạn dịch vụ phân tích định lượng tốt nhất, giúp luận văn của bạn đạt điểm cao.
Để được hỗ trợ tư vấn chi tiết hơn vui lòng liên hệ qua thông tin dưới đây.
Thông tin liên hệ:
- Hotline: 096 999 1080
- Email: luanvan1080@gmail.com
- Địa chỉ:
275 Nguyễn Trãi – Thanh Xuân – Hà Nội
25 Tiên Sơn 15 – Hòa Cường Nam – Hải Châu – Đà Nẵng
16 Đường B2 – KDC Hưng Phú 1 – Cái Răng – Cần Thơ
35 Lê Văn Chí – Phường Linh Trung – Thủ Đức – TPHCM